-->

TPS "Sensor de Posición de la Mariposa"Logo EHTMotor´s

TPS "Throttle Position Sensor" (Sensor de posición de la mariposa)

TPS

Descripción:

Este sensor es en realidad un potenciómetro que envía a la PCM un voltaje “señal” que se comporta de manera lineal y es directamente proporcional a la posición del acelerador. El sensor tiene 3 cables que pueden en algunos casos estar recubiertos para protegerlo de la corrosión, un cable es tierra, el segundo es alimentación positiva y el tercero es la señal que se envía a la computadora. Y no puede ser superior al voltaje de alimentación al sensor, si usted desconecta el sensor TPS encontrara que en algunos casos existe en el conector en la línea de señal un voltaje casi igual al de alimentación que puede ser 12 V. o 5 V. este voltaje obviamente lo envía la PCM formándose un diferencial con el voltaje resultante de la diferencia de potencial producto de mover el acelerador que puede ir desde los 0.6 V a los 5 V para los que son alimentados con 5 voltios nominales.

El sensor esta montado en el cuerpo de aceleración y existen variaciones que se explicaran enseguida sin embargo el principio es el mismo.

Sensor TPS montado en el cuerpo de aceleracion

Ecuación de Diferencia de Tensión.

Sensor de 3 Cables

Funcionamiento:

El sensor TPS normalmente se encuentra en posición de cerrado, lo que indica una posición de ralenti

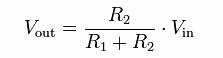
A medida que usted acelera usted mueve el punto medio el cual correrá a lo largo de la resistencia lo que provocara una diferencia de tensión con respecto atierra de acuerdo a la siguiente ecuación:

De esta manera tendremos un voltaje resultante en Vout producto del movimiento del pedal, el cual la PCM convertirá en digital normalmente utilizando 8 bits para poderlo procesar.

Estructura interna de Sensor TPS

El funcionamiento de este sensor es igual solo que utiliza el sw para saber en el instante en que el conductor acelero hasta el fondo, es decir el sw. Se encuentra normalmente cerrado y cuando acelera a fondo se abre. Este tipo de sw. Lo utilizan autos de la marca TOYOTA, esto tiene por objeto que la PCM reaccione con mayor rapidez cuando el usuario requiera una respuesta brusca por parte del auto, ya que de otra manera no obtendremos una respuesta inmediata.

Circuito TPS con Switch.

TPS con 4 terminales.

Como pueden observar se encuentra un sensor TPS con 4 terminales en donde VC es la alimentación que no siempre es 5 volts, en ocasiones es 12 volts, VTA es la señal que envía el sensor a la computadora, E2 es la tierra del sensor enviada por la computadora y finalmente la Terminal “IDL” cuado aceleramos a fondo se encuentra con un voltaje de pull up de 12 V. el cual como ya sabemos caerán al momento de regresar nuevamente a la posición de ralenti.

La Terminal IDL hace contacto cuando esta en ralenti, como sus iniciales lo dicen proveniente de la palabra en ingles IDLE que significa ralenti o marcha en baja, en esta posición encontraremos cero volts.

Fallas:

Para determinar si este sensor se encuentra en buen estado o no se pueden realizar diversas pruebas la primera y la mas común es midiendo voltaje en la línea de señal con respecto a tierra, a medida en que movemos el rotor del TPS debemos encontrar que el voltaje aumenta con linealidad, que quiere decir esto, significa que el voltaje no debe subir bruscamente si pasa esto es que el sensor se encuentra sucio internamente o bien que una sección de la resistencia no trabaja por desgaste. Los síntomas para estas condiciones son normalmente aceleraciones bruscas o perdidas de potencia a determinadas revoluciones, no es bueno hacer la prueba con el equipo de diagnostico ya que no considera muchos voltajes entre puntos, recomiendo hacerla con un un multimetro analógico ya que usted podrá observar con mayor presicion el comportamiento viendo como se mueve la aguja.

Cuando no acelere el vehiculo lo primero que tenemos que revisar son las alimentación del sensor tanto tierra como positivo, posteriormente asegurarnos que el voltaje resultante llegue a la PCM, si todo esto esta bien el siguiente paso es verificar con el equipo de diagnostico si al mover el pedal obtenemos variación de voltaje si no la hay la PCM esta dañada.

Ahora bien existen algunos modelos principalmente en DODGE Y JEEP en los casos en los que el auto cuenta con computadora de viaje, puede llegar a encontrar un remanente de voltaje en la señal el cual la computadora le manifestara como voltaje alto, en estas computadoras existe una correlación interna entre la señal de proceso del TPS y el control de velocidad de viaje, no es que la PCM este mal si no que el sistema de viaje regresa un voltaje que no debería, recomiendo desconectar absolutamente todas las líneas del control crucero, si funciona que es lo mas seguro ya sabe cual es el problema.

TPS con multimetro conectado.

A continuación les presento algunos códigos OBD1 de FORD

DTC121 la señal del sensor se encuentra fuera del rango de prueba inicial.

DTC122 la señal del sensor se encuentra por debajo del valor mínimo del rango de prueba.

DTC123 la señal del sensor se encuentra por encima del valor máximo del rango de prueba.

DTC124 la señal del sensor es más alta de lo esperado.

DTC125 la señal del sensor es mas baja de lo esperado.

EHT Motor´s

Le brindamos 6 meses de garantía en venta y reconstrucción a todos nuestros clientes, además de descuentos especiales a talleres y agencias

Contactános - Soporte Técnico

Tienes dudas que la computadora sea el problema del auto?

Contáctanos y con gusto te ayudaremos.

"Es un placer servirle"

Seguridad

Si tiene dudas puede comunicarse por el medio de su preferencia:
EHT Motor´s Ubicado en
Blvd. Emiliano Zapata 2254 pte, Col. Vallado Nuevo, C.P. 80110, Culiacán, Sinaloa, México
Teléfono: (667)-714-26-26
Nextel: 72*15*5234
EHTMotor´s